[1. 문제 설명]
현재 나이트 위치에서 다음 나이트 위치까지 이동 할 때, 필요한 최소 이동 횟수
[2. 풀이 접근]
BFS 탐색은 DFS 와 달리 특별한 성질이 있다.
그 성질은 각 정점을 최단경로 방문한다는 것이다.
(단, 이 경우 Edge 의 weight 라는 개념이 없거나, 모든 weight 가 같아야 한다.)
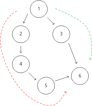
아래와 같은 그래프를 정점1에서 시작해서 DFS 로 탐색 할 때
(인접한 정점을 오름차순으로 방문한다 가정)
정점6에 방문하기 위해서는 4개의 edge 를 거쳐야만 한다.
하지만, BFS로 탐색 시, 총 2개의 edge 만을 거치면 된다.

따라서, bfs 로 나이트를 특정 위치에 도달 할 때 가지 각 방향으로 이동시키면 된다.
[3. 코드]
'알고리즘 > Baekjoon' 카테고리의 다른 글
| 그래프와 순회. [16928] (0) | 2022.09.19 |
|---|---|
| 그래프와 순회. [7576] (0) | 2022.09.18 |
| 그래프와 순회. [2667], [1012] (0) | 2022.09.14 |
| 그래프와 순회. [24444] (0) | 2022.09.13 |
| 그래프와 순회. [24479], [24480] (0) | 2022.09.12 |