[1. 개요]
그래프를 대상으로 DFS 를 수행하였을 때,
사용 된 edge 를 모으면, 하나의 tree가 완성 되며,
이 tree 를 dfs 스패닝 트리라 한다.
특히, 연결 그래프를 대상으로 한 탐색 과정에서
이미 방문한 정점으로 향하는 edge 를 무시하지 않고,
이 정보를 수집하면
그래프에서 사용된 edge 를 아래와 같이 4가지 유형으로 분류 할 수 있다.
- 트리 간선
- 순방향 간선
- 역방향 간선
- 교차 간선
이러한 Edge 의 분류는 DFS 를 어떤 노드부터 시작하느냐에 따라 달라지게 된다.
또한, 무방향 그래프에서는 교차 간선은 존재하지 않고, 순방향/역방향 간선에 구분이 없다
- 무방향 그래프에서 교차 간선이 존재하지 않는 이유는
# edge: {u, v} 가 교차 간선이 되기 위해서는
# v 를 먼저 방문하고, 여기서 u 를 방문하지 않고 dfs 를 종료해야 하는데
# 무방향 그래프이므로 v 는 u 가 방문되지 않았으면, 무조건 방문을 시도하게 된다.
[2. 트리 간선]
DFS 스패닝 트리에 속한 Edge
- DFS 탐색 중, u->v 에서 인접한 노드 v가 아직 방문되지 않아서 트리에 속하게 된 Edge
[3. 순방향 간선]
DFS 스패닝 트리에 속하지 않는 Edge 로, 조상에서 자손으로 연결되는 Edge.
- u -> w -> v 가 트리 간선에 속할 때,
- 그래프에서 u ->v 로 가는 edge 가 있는 경우
- u -> v 는 순방향 간선이 된다.
[4. 역방향 간선]
역시, DFS 스패닝 트리에 속하지 않는 Edge 로, 자손에서 조상으로 연결되는 Edge
- u -> w -> v 가 트리 간선에 속할 때,
- 그래프에서 v -> u 로 가는 edge 가 있는 경우
- v -> u 는 역방향 간선이 된다.
[5. 교차 간선]
트리 간선, 순방향 간선, 역방향 간선 외 모든 간선이 교차 간선에 속한다.
- 트리에서 조상과 자손 관계가 아닌 정점들 간에 연결 된 edge
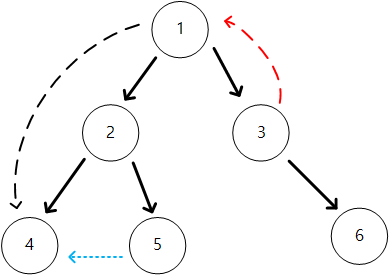
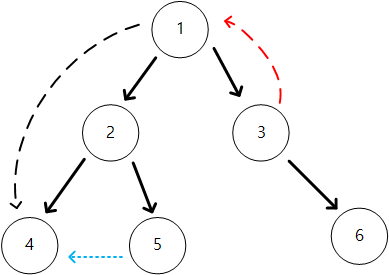
[6. 예제]

A. 트리 간선
=> 스패닝 트리에 포함된 Edge
=> 굵은 실선 화살표
B. 순방향 간선
=> 스패닝 트리에서 조상에서 자손으로 연결 되지만, 트리 간선이 아닌 Edge
=> 검정색 점선 화살표
C. 역방향 간선
=> 스패닝 트리에서 자손에서 조상으로 연결되는 Edge, 트리 간선이 아닌 Edge
=> 빨간색 점선 화살표
D. 교차 간선
=> 트리 간선, 순방향 간선, 역방향 간선이 아닌 모든 Edge
=> 파란색 점선 화살표
[7. Edge 유형을 분류하는 방법]
아래 코드는 방향 그래프를 대상으로 dfs 수행 시 edge 유형을 분류한다.
'알고리즘 > 기타' 카테고리의 다른 글
| Lazy propagation (0) | 2023.03.10 |
|---|---|
| 플로이드의 모든 쌍 최단거리 알고리즘 (0) | 2022.11.30 |
| 원형 큐 (1) | 2022.11.10 |
| 좌표 압축 (1) | 2022.11.07 |
| treap (0) | 2022.11.03 |