[1. 문제 설명]
https://www.acmicpc.net/problem/1949
[2. 풀이 접근]
처음에는 완전 탐색 형식으로 풀어보고,
메모이제이션 해서 최적화 하는 방법으로 접근해보려 했는데,
이 때, 문제에서 조건 중 3번 조건을 다루기가 많이 까다로웠다.
- root 가 선택되지 않았을 때, 적어도 하나의 자식은 우수 마을로 선정되어야 한다.
- 자식 노드의 개수가 4 개일 때, 전체 경우의 수는 (2^4-1) 개 이다.
# 전체 경우의 수에서, 모두 우수 마을이 아닌 경우를 뺀 개수 - 자식 노드의 개수가 늘어나면 지수 형태로 경우의 수가 늘어나므로, 적절한 풀이가 아니다.
찾아보니 일반적인 풀이는 아래와 같다.
- 부분 문제를 다음과 같이 정의
# 어떤 노드를 root 로 하는 서브 트리에서 최대 주민 수를 반환. - 그래서 전체 트리의 root 에서 시작하여, dfs 탐색
- 이 때, 반복적 동적계획법으로 최대 값을 갱신해 나간다.
이 때, 좀 더 생각해봐야 될 것이 한가지 존재했는데,
이번 root 에 대한 부분 문제를 풀 때,
이번 root가 우수 마을로 선정되지 않았을 때, 어떤 자식을 선택해야 하는 가이다.
- 위에서 고민했던 것과 같은 상황이다.
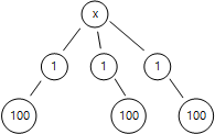
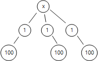
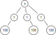
아래 그림과 같은 상황이다.
이번 루트를 선택하지 않았는데, 자식 노드를 선택하는 것이 전체 주민 수를 최대로 할 수 없는 것이라면,
과연 어떻게 하는게 좋을 까를 꽤 오래 고민하였는데,
답은 간단했다.

이런 상황에서는 root 의 자식을 우수 마을로 선정하지 않고, root 를 우수마을로 선정하면 되는 것이다.
부분 문제를 푸는 것이기 때문에 root 의 부모가 어떤 상태인지는 굳이 알 필요가 없다.
- 부분 문제라는 것이 가장 크다.
- 이번 root 의 부모의 상태를 고려할 필요가 없다.
- 이번 부분 문제에 대한 결과를 이용해서, 원래 부모가 문제를 해결해야 한다.
[3. 코드]
'알고리즘 > Baekjoon' 카테고리의 다른 글
| 우선순위 큐. [7662] (0) | 2023.02.27 |
|---|---|
| 우선순위 큐. [1202] (0) | 2023.02.25 |
| 트리. [2533] (0) | 2023.02.21 |
| 트리. [2250] (0) | 2023.02.20 |
| 스택. [1918] (1) | 2023.02.16 |