[1. 문제 설명]

위와 같이 교차로 에 ATM 및 레스토랑이 있을 때,
시작 점이 주어지고, 어떤 레스토랑까지 이동하면서
인출 할 수 있는 현금의 최대 액수를 구하도록 한다.
한번 출금하면 해당 ATM 에서는 더 이상 출금 할 수 없으며.
한번 지나간 edge 를 다시 지나갈 수 있다.
(원: ATM, 이중원: ATM + 레스토랑)
[2. 풀이 접근]
한번 지나간 edge 를 다시 지나갈 수 있으므로,
현금을 최대한 인출 하기 위해 cycle 을 형성 할 수 있다.
풀이 개요
- 전체 그래프를 SCC 단위로 나눈다.
- 시작 위치를 포함하는 SCC 에서 출발한다.
- 레스토랑이 있는 SCC 를 방문 하는 모든 경우를 체크하여 최대 값을 구한다.
최대한 많은 현금을 인출하기 위해
같은 SCC 에 속한 모든 노드를 전부 방문하고, 다음 SCC 로 이동하는 방식이다.
여기서 핵심은 바로 3 번 단계이다.
처음에 풀이한 방식은 dfs 를 통해서 최대 값을 갱신하는 것이었다.
그러나 이 풀이는 틀렸는데, 방문 순서에 따라서 최대 값을 갱신하지 못할 수 있기 때문이다.
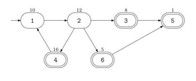
아래 그림이 그 예시이다.

1 -> 2 -> 3 -> 4 방문 시 총 금액: 10
1 -> 999 방문 시 총 금액: 1000
그래서 dfs 에서 방문여부를 체크하지 않고 방문해보는 방식을 해보았다.
SCC 로 이루어진 그래프는 DAG 이므로, 부모/자식 노드간 cycle 은 발생하지 않기 때문이다.
=> cycle 이 발생한다면 이미 같은 SCC 로 묶여버렸을 것이다.
이 풀이는 시간 초과를 발생시켰다.
마지막 풀이는
방문 여부 없이 bfs 를 수행하되,
해당 SCC 로 이동하여 인출된 현금의 누적 값이 더 커질 수 있는 경우에만 방문하는 것이다.
[3. 코드]
'알고리즘 > Baekjoon' 카테고리의 다른 글
| SCC. [11281] (0) | 2022.11.28 |
|---|---|
| SCC. [11280] (0) | 2022.11.27 |
| SCC. [3977] (0) | 2022.11.27 |
| SCC. [4196] (0) | 2022.11.27 |
| SCC. [2150] (0) | 2022.11.22 |